Expand Minimize Picture-in-picture Power Device Status Voice Recognition Skip Back Skip Forward Minus Plus Play Search
Internet Explorer alert
This browser is not recommended for use with smartdevicelink.com, and may not function properly. Upgrade to a different browser to guarantee support of all features.
close alert
To Top Created with Sketch. To Top
To Bottom Created with Sketch. To Bottom
HMI Documentation
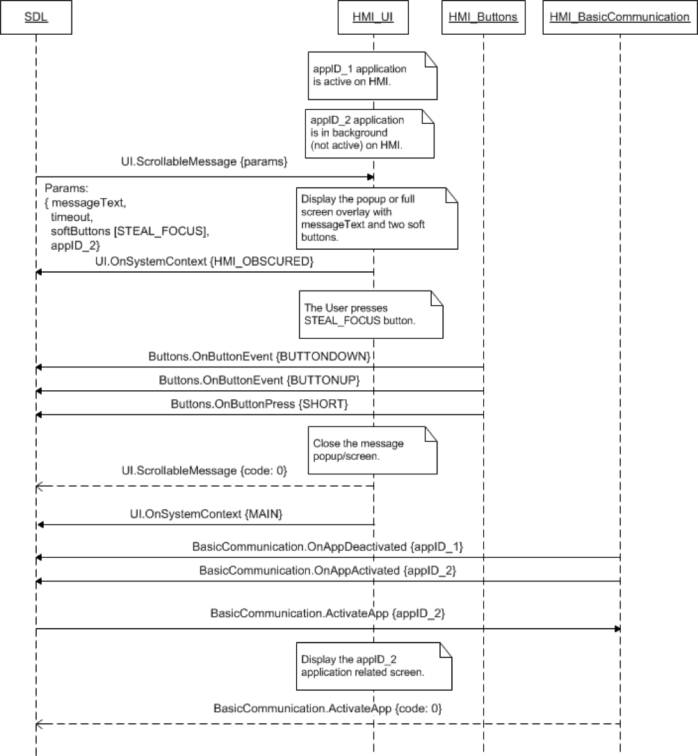
ScrollableMessage

ScrollableMessage

Type
Function
Sender
SDL
Purpose
Display a dialog that may contain new lines and text which is scrollable by the user.

Request

Parameters

Name Type Mandatory Additional
messageText Common.TextFieldStruct true
timeout Integer true minvalue: 0
maxvalue: 65535
softButtons Common.SoftButton false array: true
minsize: 0
maxsize: 8
appID Integer true

Response

Parameters

This RPC has no additional parameter requirements

Sequence Diagrams

Example Request

{
  "id" : 138,
  "jsonrpc" : "2.0",
  "method" : "UI.ScrollableMessage",
  "params" :
  {
    "messageText" :
    {
         "fieldName" :  scrollableMessageBody,
     "fieldText" : "Create a Station
          Enter an artist, song or composer in the Search box in the top left corner. We'll create a radio station featuring that music and more like it. You can also create a new station from the song or artist currently playing by hovering over the album artwork, clicking the white up-arrow and selecting New Station—you can choose From Song or From Artist."
    },
    "timeout" : 10000,
    "softButtons" :
    [
      {
        "type" :  TEXT,
        "text" : "Leave onscreen",
        "softButtonID" : 15,
        "systemAction" :  KEEP_CONTEXT
      },
      {
        "type" :  TEXT,
        "text" : "Cancel",
        "softButtonID" : 16,
        "systemAction" :  STEAL_FOCUS
      }
    ],

    "appID" : 6527
  }
}

Example Response

{
  "id" : 138,
  "jsonrpc" : "2.0",
  "result" :
  {
    "code" : 0,
    "method" : "UI.ScrollableMessage"
  }
}

Example Error

{
  "id" : 138,
  "jsonrpc" : "2.0",
  "error" :
  {
    "code" : 12,
    "message" : "The string data is too long",
    "data" :
    {
      "method" : "UI.ScrollableMessage"
    }
  }
}
View on GitHub.com
Previous Section Next Section