Expand Minimize Picture-in-picture Power Device Status Voice Recognition Skip Back Skip Forward Minus Plus Play Search
Internet Explorer alert
This browser is not recommended for use with smartdevicelink.com, and may not function properly. Upgrade to a different browser to guarantee support of all features.
close alert
To Top Created with Sketch. To Top
To Bottom Created with Sketch. To Bottom
HMI Documentation
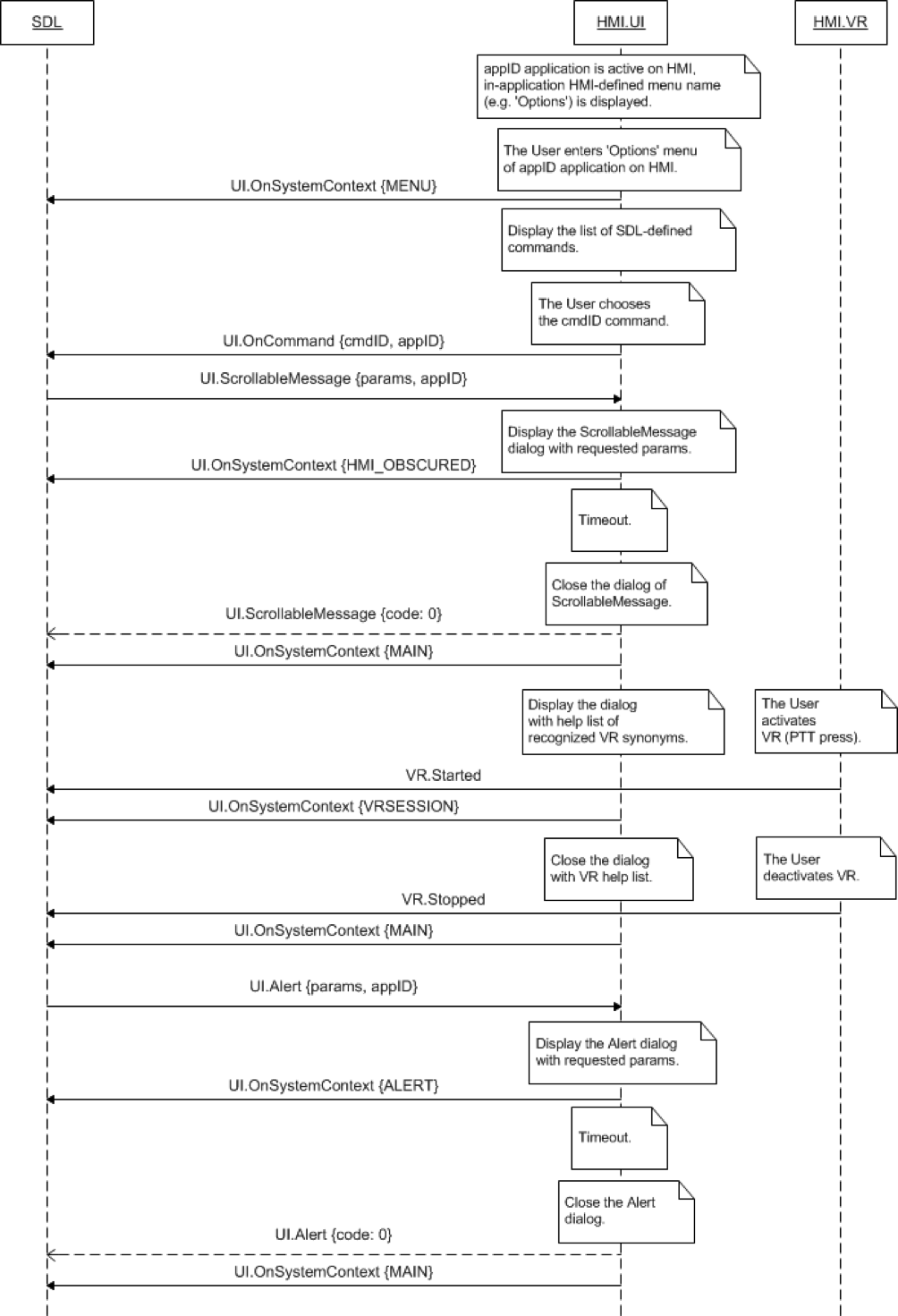
OnSystemContext

OnSystemContext

Type
Notification
Sender
HMI
Purpose
Inform SDL about the current context of app interaction.

Notification

Parameters

Name Type Mandatory Additional
systemContext Common.SystemContext true
appID Integer false

Sequence Diagrams

JSON Example Notification

{
  "jsonrpc" : "2.0",
  "method" : "UI.OnSystemContext",
  "params" :
  {
    "systemContext" : "VRSESSION"
  }
}
View on GitHub.com
Previous Section Next Section