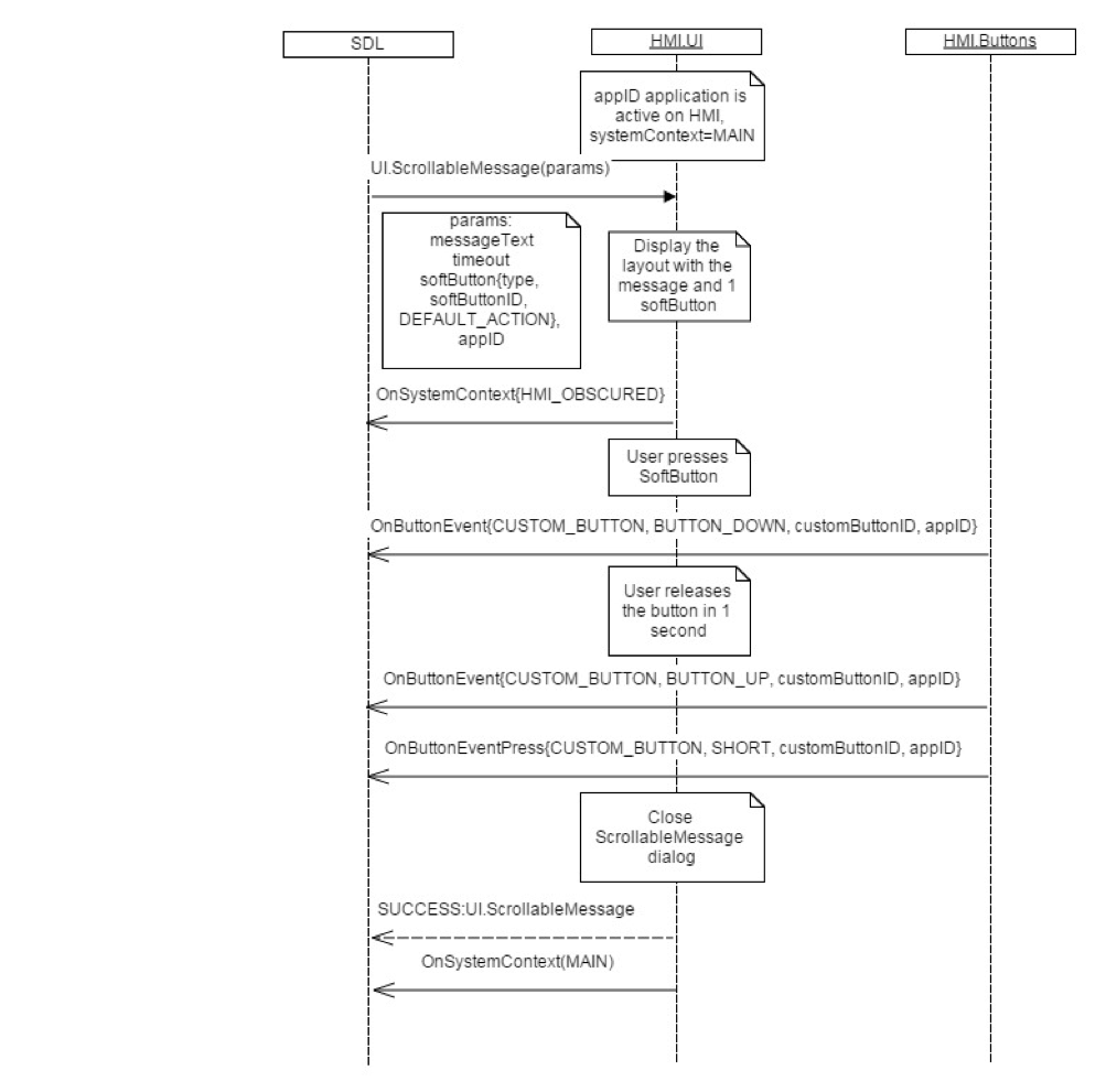
| Name | Type | Mandatory | Additional |
|---|---|---|---|
| name | Common.ButtonName | true | |
| mode | Common.ButtonEventMode | true | |
| customButtonID | Integer | false | minvalue: 0 maxvalue: 65536 |
| appID | Integer | false |
{ "jsonrpc" : "2.0", "method" : "Buttons.OnButtonEvent", "params" : { "name" : OK, "mode" : BUTTONDOWN, } }