Expand Minimize Picture-in-picture Power Device Status Voice Recognition Skip Back Skip Forward Minus Plus Play Search
Internet Explorer alert
This browser is not recommended for use with smartdevicelink.com, and may not function properly. Upgrade to a different browser to guarantee support of all features.
close alert
To Top Created with Sketch. To Top
To Bottom Created with Sketch. To Bottom
HMI Documentation
Show

Show

Type
Function
Sender
SDL
Purpose
Update fields displayed on the HMI for the specified application.

Request

Parameters

Name Type Mandatory Additional
showStrings Common.TextFieldStruct true array: true
minsize: 0
maxsize: 7
alignment Common.TextAlignment false
graphic Common.Image false
secondaryGraphic Common.Image false
softButtons Common.SoftButton false array: true
minsize: 0
maxsize: 8
customPresets String false array: true
minsize: 0
maxsize: 10
maxlength: 500
appID Integer true

Response

Parameters

This RPC has no additional parameter requirements

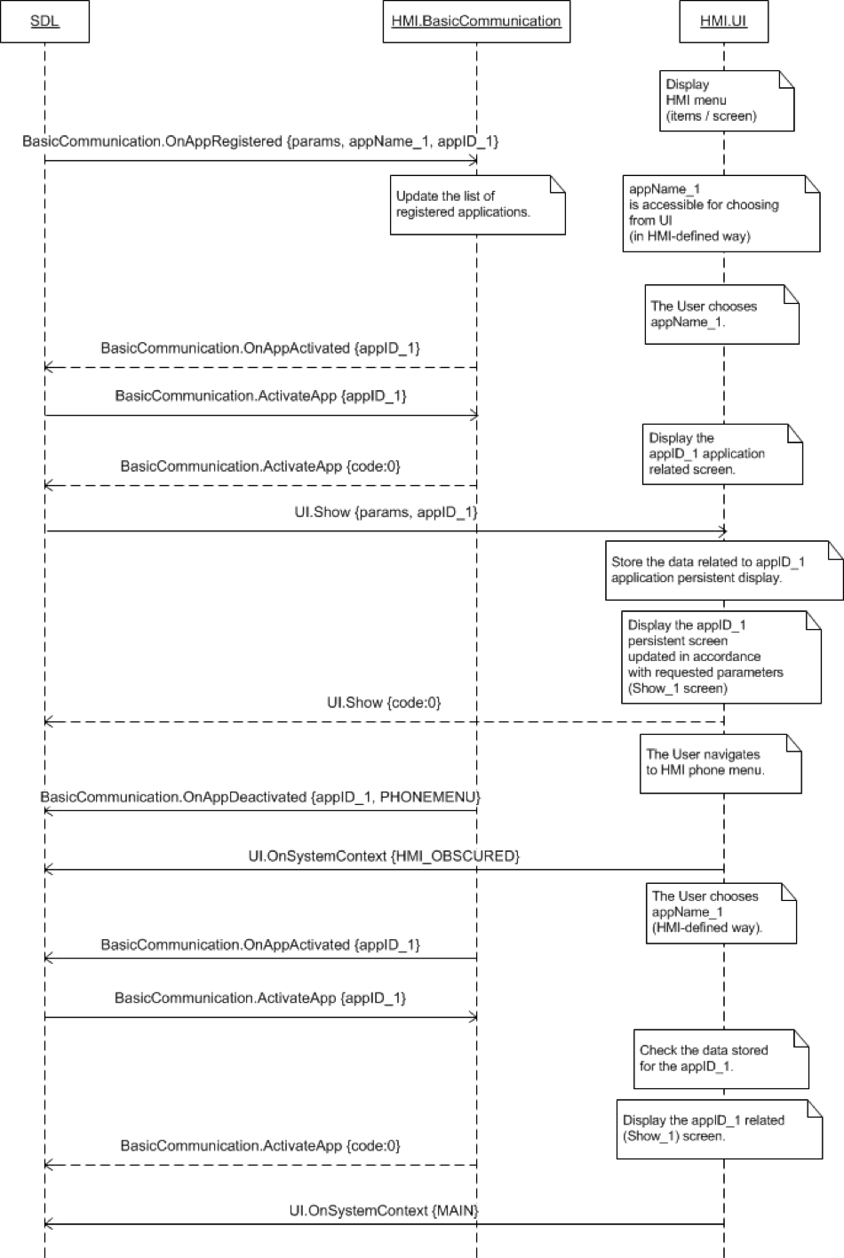
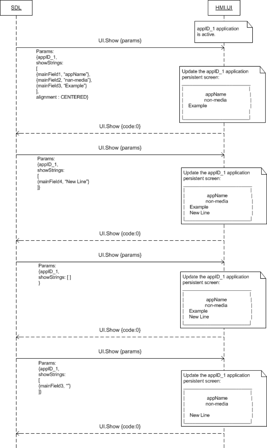
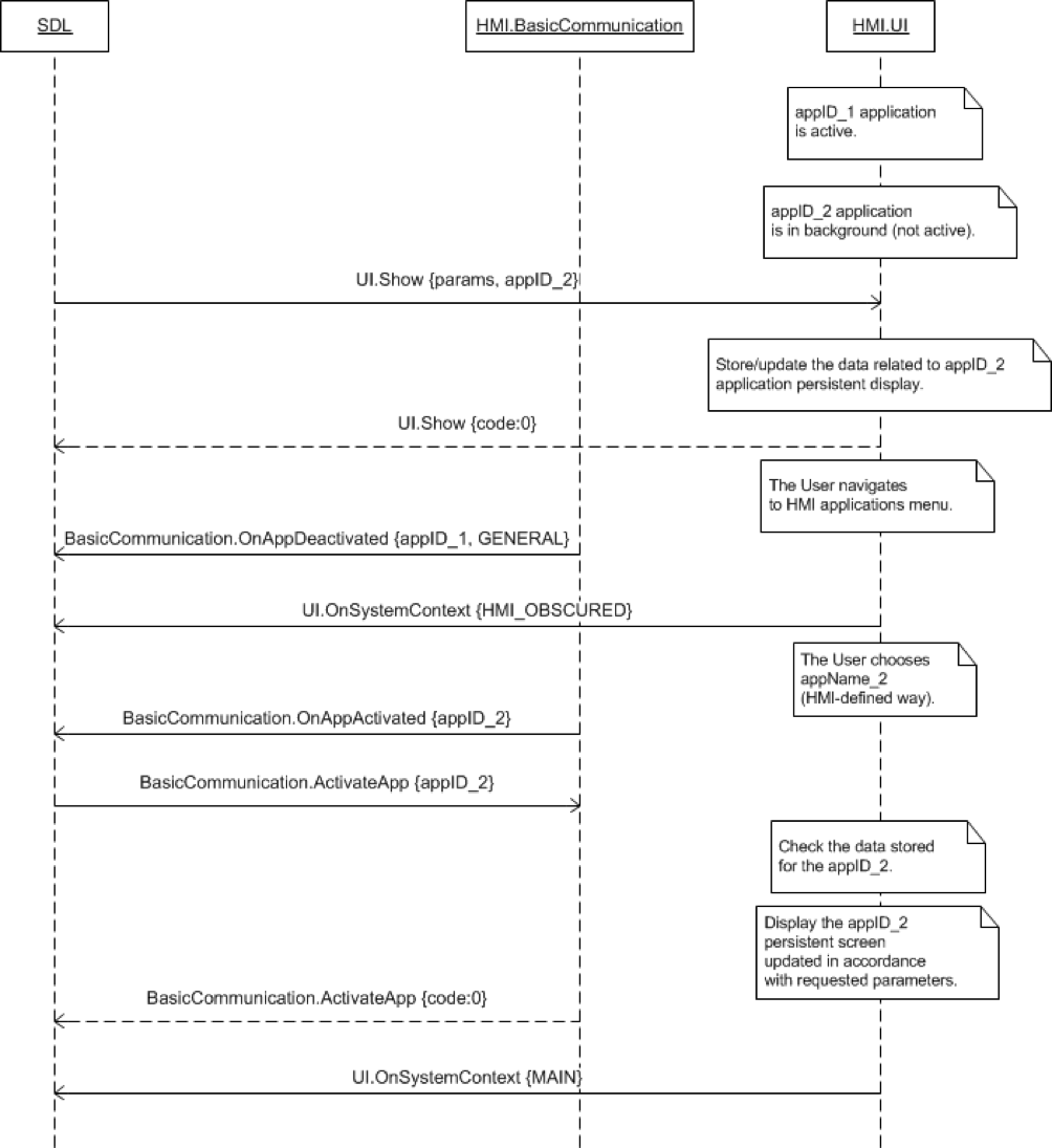
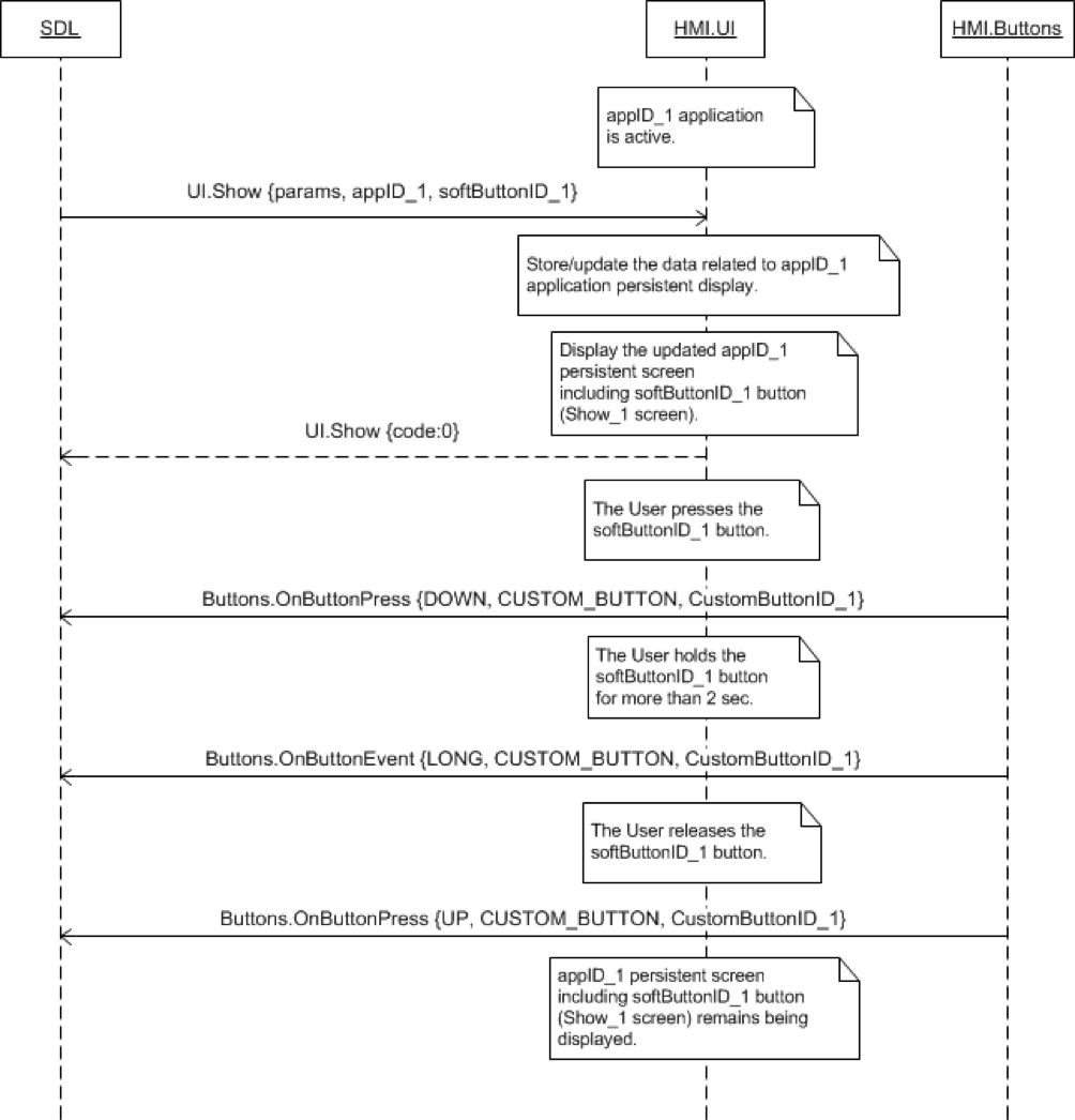
Sequence Diagrams

Example Request

{
  "id" : 120,
  "jsonrpc" : "2.0",
  "method" : "UI. Show",
  "params" :
  {
    "showStrings" :
    [
      {
         "fieldName" : mainField1,
         "fieldText" : "Favourite Album"
      },
      {
         "fieldName" : mediaClock,
         "fieldText" : "1:45:12"
      },
      {
         "fieldName" : mediaTrack,
         "fieldText" : "Ironic – The Collection – Alanis Morissette"
      }
    ],
    "alignment" : LEFT_ALIGNED,
    "graphic" :
    {
         "value" : "tmp/SDL/app/Best_Media/AM-Collection-cover.png",
         "imageType" : DYNAMIC
    },
    "softButtons" :
    [
      {
      "type" :  BOTH,
      "text" : "Change Album",
      "image" :
       [
         "value" : "tmp/SDL/app/Best_Media/change_alb_icon.jpg",
         "imageType" : DYNAMIC
       ],
      "softButtonID" : 48,
      "systemAction" :  DEFAULT_ACTION
      },

      {
      "type" :  TEXT,
      "text" : "Change Artist",
      "softButtonID" : 57
      },
    ],
    "customPresets" : ["Like Song", "Like Album"],
    "appID" : 8726
  }
}

Example Response

{
  "id" : 120,
  "jsonrpc" : "2.0",
  "result" :
  {
    "code" : 0,
    "method" : "UI.Show"
  }
}

Example Error

{
  "id" : 120,
  "jsonrpc" : "2.0",
  "error" :
  {
    "code" : 22,
    "message" : "An unknown issue occurred ",
    "data" :
    {
      "method" : "UI.Show"
    }
  }
}
View on GitHub.com
Previous Section Next Section